学生公告
37000gcom威尼斯教师资格证考核之面试环节安排通知
来源:37000gcom威尼斯 浏览人数: 发布时间:2024-12-19
一、 考核领导小组成员: 组长:蔡风景
组员:黄晓虹、蔡建秋、李萍萍、叶建柱
秘书:罗素芹
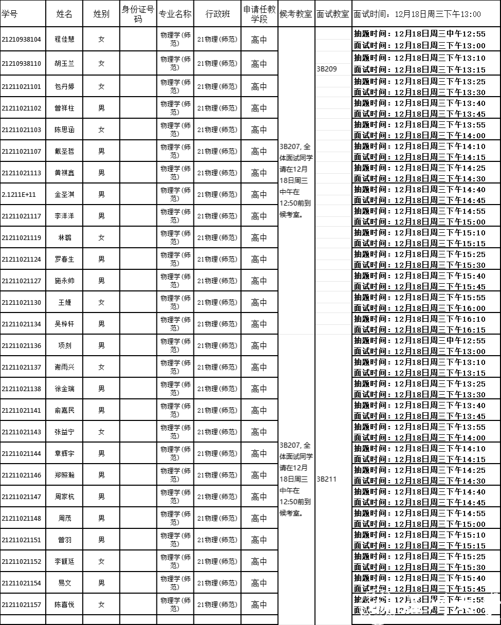
二、 考核时间:2024年12月18日
三、 考核地点:南校区37000gcom威尼斯教室、微格教室(详见具体安排)
二、考核对象:21物理
五、考核人数:27人
六、考核名单及安排,详见附表一
七、学生注意事项
1.参赛选手带齐本人身份证和学生证,到指定候考教室签到候考;
2.选手参加结构化面试-模拟上课·板书(13分钟),必须在规定时间完成既定内容;超出规定时间将酌情扣分。结构化面试试题2个(教师教育类、专业类各一题),提前5分钟抽题准备。
附表一:





